CBSE Mandatory Disclosure

APPENDIX - IX



A. GENERAL INFORMATION:
SL. No. INFORMATION DETAILS
1. NAME OF THE SCHOOL MODEL SCHOOL, COMPANY BAGH, ROHTAK
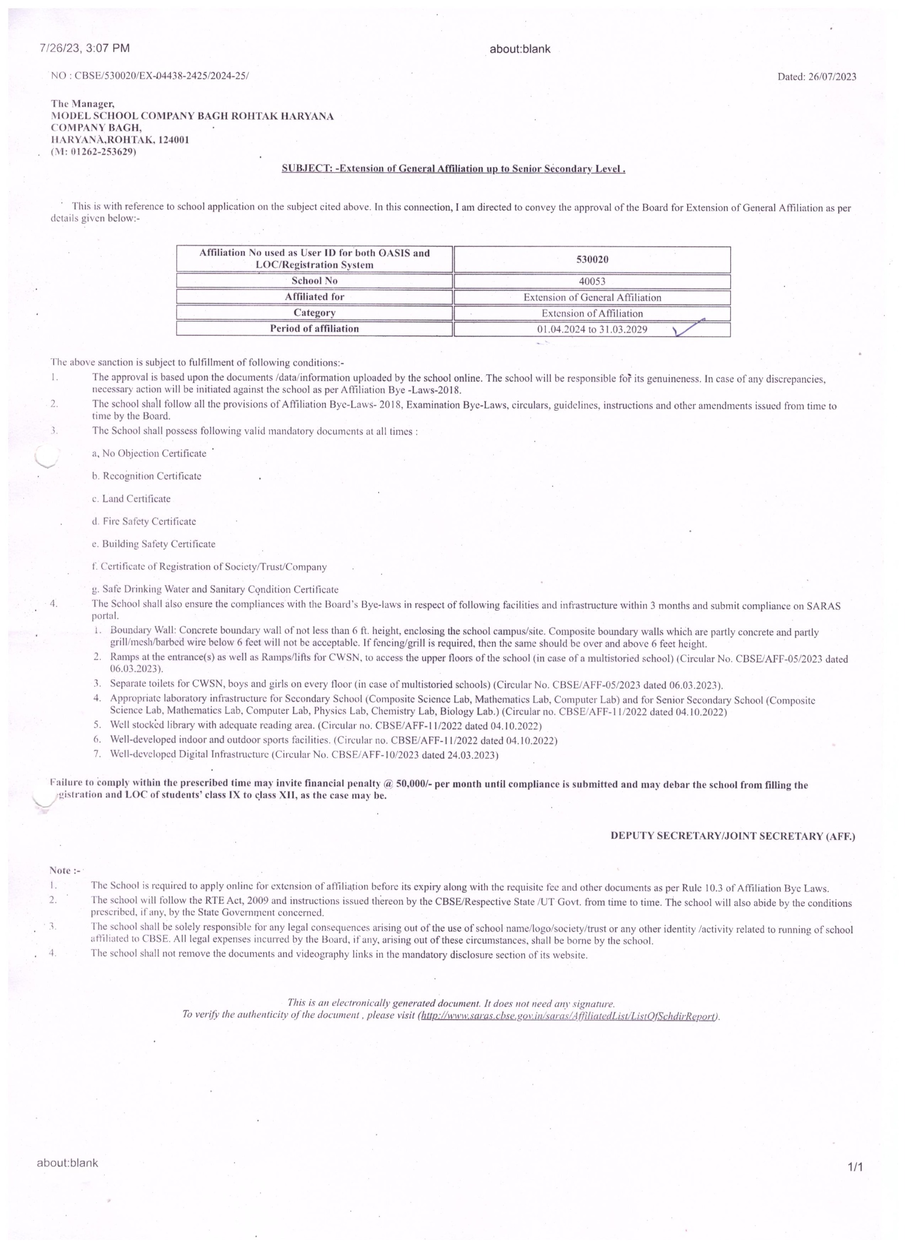
2. AFFILIATION NO. (IF APPLICABLE) 530020
3. SCHOOL CODE (IF APPLICABLE) 40053
4 COMPLETE ADDRESS WITH PIN CODE Model School Rohtak, Company Bagh, Ambedkar Chowk,Rohtak-124001
5 PRINCIPAL NAME Dr. Aruna Taneja
6 PRINCIPAL QUALIFICATION M.Com., B.Ed, Ph.D
7 SCHOOL EMAIL ID modelschool1952@yahoo.co.in
8 CONTACT DETAILS (MOBILE) 01262-253629

B. DOCUMENTS AND INFORMATION:
SL. No. Documents List UPLOAD DOCUMENTS
1. COPIES OF AFFILIATION/ UPGRADATION LETTER AND RECENT EXTENSION OF AFFILIATION, IF ANY Click Here...
2 COPIES OF SOCIETIES/ TRUST/ COMPANY REGISTRATION/ RENEWAL CERTIFICATE, AS APPLICABLE Click Here...
3 COPY OF THE NO OBJECTION CERTIFICATE (NOC) ISSUED, IF APPLICABLE, BY THE STATE GOVT./ UT Click Here...
4 COPIES OF RECOGNITION CERTIFICATE UNDER RTE ACT, 2009, AND ITS RENEWAL IF APPLICABLE Click Here...
5 COPY OF VALID BUILDING SAFETY CERTIFICATE AS PER NATIONAL BUILDING CODE Click Here...
6 COPY OF VALID FIRE SAFETY CERTIFICATE ISSUED BY THE COMPETENT AUTHORITY Click Here...
7 COPY OF THE DEO CERTIFICATE SUBMITTED BY THE SCHOOL FOR AFFILIATION/ UPGRADATION/ EXTENSION OF AFFILIATION OR SELF CERTIFICATION BY THE SCHOOL Click Here...
8 COPIES OF VALID WATER, HEALTH AND SANITATION CERTIFICATES Click Here...
9 MANDATORY DISCLOSURE DETAILS Click Here...

NOTE: THE SCHOOLS NEED TO UPLOAD THE SELF-ATTESTED COPIES OF THE ABOVE LISTED DOCUMENTS BY CHAIRMAN/ MANAGER/ SECRETARY AND PRINCIPAL. IN CASE, IT IS NOTICED AT LATER STAGE THAT UPLOADED DOCUMENTS ARE NOT GENUINE THEN SCHOOL SHALL BE LIABLE FOR ACTION AS PER NORMS.



C. RESULTS AND ACADEMICS:
SL. No. DOCUMENTS/ INFORMATION UPLOAD DOCUMENTS
1. FEE STRUCTURE OF THE SCHOOL Click Here
2 ANNUAL ACADEMIC CALENDAR Click Here
3 LIST OF THE SCHOOL MANAGEMENT COMMITTEE (SMC) Click Here
4 LIST OF THE PARENTS TEACHERS ASSOCIATION (PTA) MEMBERS Click Here
5 LAST THREE-YEAR RESULT OF THE BOARD EXAMINATION AS PER APPLICABILITY Click Here

RESULT CLASS: X
SL. No. YEAR NO. OF REGISTERED STUDENTS NO. OF STUDENTS PASSED PASS PERCENTAGE REMARKS
1 2019 311 308 99.04
2 2020 283 281 99.29
3 2021 274 274 100.00
4 2022 248 247 99.59

RESULT CLASS: XII
SL. No. YEAR NO. OF REGISTERED STUDENTS NO. OF STUDENTS PASSED PASS PERCENTAGE REMARKS
1 2019 251 237 94.42
2 2020 281 258 91.81
3 2021 269 266 98.88
4 2022 214 207 96.72

D. STAFF (TEACHING):
SL. No. INFORMATION DETAILS
1. PRINCIPAL 01
2 TOTAL NO. OF TEACHERS 128
PGT 25
TGT 42
PRT 61
3 TEACHER/ SECTION RATIO 1.7
4 DETAILS OF SPECIAL EDUCATOR Mrs. Harpreet Kaur
5 DETAILS OF COUNSELLOR AND WELLNESS TEACHER Mrs. Jessy Mann

E. SCHOOL INFRASTRUCTURE:
SL. No. INFORMATION DETAILS
1. TOTAL CAMPUS AREA OF THE SCHOOL (IN SQUARE MTR.) 8903
2. NUMBER AND SIZE OF CLASS ROOMS (IN SQUARE MTR.) 87 Rooms & 24 x 20
3. NUMBER OF LARGE LABS INCLUDING COMPUTER LABS (IN SQUARE MTR.) 8
4 INTERNET FACILITY (Y/N) Yes
5 NUMBER OF GIRL’S TOILETS 25
6 NUMBER OF BOY’S TOILETS 15
7 YOUTUBE VIDEO LINK OF SCHOOL’S INSPECTION Click Here